Abstract
INTRODUCTION
Recent studies have shown that OM-CMML and CMML have a similar clinical and biological profile. Since the proliferative-CMML (P-CMML) is the last-stage of CMML proliferative continuum and shows poor outcomes, it is expected that OM-CMML presents the best outcomes of these entities, as it represents an early-stage of dysplastic-CMML (D-CMML). In this sense, although a high percentage of OM-CMML evolve to CMML, some of them die before evolving. Therefore, identifying predictive factors of evolution into CMML may be valuable since, OM-CMML that evolves to CMML show shorter overall survival (OS) (Calvo X et al. Blood Adv 2020).
AIM
To analyze clinical outcomes of 41 OM-CMML patients and to compare them to that of 182 overt CMML (141 D-CMML and 41 P-CMML), and to assess predictive factors of evolution of OM-CMML into overt CMML.
RESULTS
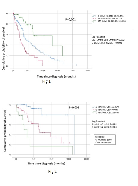
OM-CMML showed longer OS than D-CMML and P-CMML (Figure 1). OM-CMML also showed longer AML-free survival than D-CMML (median OS: 131.8m vs. 43.47m; P=0.001) and P-CMML (median OS: 23m; P<0.01). These outcomes were retained after multivariate adjustment by CPSS (HR:0.38, 95%CI 0.21-0.70, P=0.002; HR:2.53, 95%CI 1.64-3.91, P=<0.001), CPSS-P (HR:0.42, 95%CI 0.23-0.78, P=0.005; HR:2.82, 95%CI 1.92-4.14, P=<0.001), and Mayo-prognostic-model (HR:0.41, 95CI 0.23-0.75, P=0.04; HR:3.45, 95%CI 2.29-5.20, P=<0.001). At a median follow-up of 45 months, 29% of D-CMML evolved to P-CMML. There was no difference in OS between D-CMML patients that evolved to P-CMML than those who did not. Nevertheless, from the moment of evolution, they had a very short survival (median OS: 10.2 months). This suggests that P-CMML evolution is the latest stage of a biological continuum that initiates in OM-CMML. Reinforcing this idea, mutations associated with proliferation (i.e: ASXL1 and RAS-pathway) were identified as independent prognostic factors for OS in our series (HR ASXL1:2.47, 95%CI 1.13-5.37, P=0.023; HR RAS-pathway:3.91, 95%CI 1.74-8.77, P=0.001).
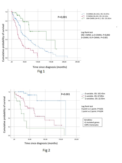
As previously commented, OM-CMML patients who evolved to overt CMML showed an inferior OS than did those who did not. At a median follow-up of 42 months, 30% OM-CMML evolved to CMML. Patients with more than 3 mutated genes (HR: 4.24, 95%CI 1.08-16.71, P=0.039) and a proportion of monocytes above 20% in peripheral blood (HR: 3.48, 95%CI 1.05-11.47, P=0.041) showed a significant shorter time to CMML. These two variables were faced in a multivariate analysis and maintained their significance for predicting time to CMML (HR: 4.33, 95%CI 1.23-15.20, P=0.022; and HR:5.82, 95%CI 1.32-25.7 , P=0.02). Moreover, these variables were also independent adverse prognostic factors for OS in our series of 94 patients with available molecular data (41 OM-CMML and 53 CMML) (HR:4.39, 95%CI 1.99-9.68 , P<0.001; HR:3.05 , 95%CI 1.27-7.34 , P=0.013). Figure 2 depicts univariate survival analysis. Given the similar HR for predicting time to CMML of both variables, we implemented a model for predicting time to CMML: 0 points (none of them), 1 (one of them) or 2 points (both). This model offered an excellent predictive power (C-index: 0.82).
CONCLUSIONS
1. The clinical outcomes of OM-CMML support its consideration as the first step in the proliferative continuum of CMML.
2. OM-CMML with higher molecular complexity and higher relative monocytosis are at greater risk of CMML evolution.
Bellosillo: Thermofisher Scientific: Consultancy, Speakers Bureau; Roche: Research Funding, Speakers Bureau; Qiagen: Consultancy, Speakers Bureau.

This feature is available to Subscribers Only
Sign In or Create an Account Close Modal